格柵板產品
- 排水格柵板
- 鍍鋅格柵板
- 平臺格柵板
- 齒形格柵板
- 電廠格柵板
- 鋼廠格柵板
- 格柵板圍欄
- 重荷載格柵板
- 異型格柵板
- 格柵蓋板
- 水溝格柵板
- 熱鍍鋅格柵板
- 防滑格柵板
- 插接格柵板
- 格柵板平臺
- 復合格柵板
- 樓梯格柵板
- 冷鍍鋅格柵板
- 踏步格柵板
- 格柵板
鋼格柵板產品
- 鋼格柵
- 鋼格柵板
- 鍍鋅鋼格柵板
- 平臺鋼格柵板
- 插接鋼格柵板
- 復合鋼格柵板
- 壓焊鋼格柵板
- 齒形鋼格柵板
- 特殊鋼格柵板
- 密型鋼格柵板
- 對插鋼格柵板
- 重荷載鋼格柵板
- 船用鋼格柵板
- 工字型鋼格柵板(I型鋼格板)
- 平面型鋼格柵板
- 鍍鋅鋼格柵蓋板
- 熱浸鋅鋼格柵板
- 船舶鋼格柵板
- 脫硫塔鋼格柵板
- 碼頭鋼格柵板
- 化工廠鋼格柵板
- 圍橋墩鋼格柵板
- 油田鋼格柵板
- 光伏發電用鋼格柵板
鋼格板產品
- 鋼格板
- 鍍鋅鋼格板
- 熱鍍鋅鋼格板
- 噴漆鋼格板
- 冷鍍鋅鋼格板
- 異型鋼格板
- 鋸齒形鋼格板
- 密型鋼格板
- 平臺鋼格板
- 插接鋼格板
- 壓焊鋼格板
- 卸油臺鋼格板
- 扇形鋼格板
- 復合鋼格板
- 鋼格板貨架
- 走道鋼格板
- 鋼格板安裝夾
- 玻璃鋼格柵板
- 網格板
- 不銹鋼鋼格板
溝蓋板產品
踏步板產品
球接欄桿產品
安平縣泰江絲網制品有限公司
聯系人:王經理
手機:13833862611
15731850440
電話:0318-7508127
傳真:0318-7508127
微信:13833862611
QQ:865666464
郵編:053600
地址:河北省衡水市安平縣城東開發區
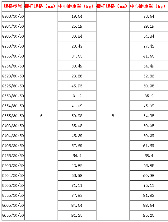
常見的鋼格板規格型號及理論重量表格——泰江鋼格板廠小王
常見的鋼格板規格型號及理論重量表格——泰江鋼格板廠小王 13833862611
鋼格板規格型號有很多種,常見的鋼格板規格型號有G253/30/100、G303/30/100、G305/30/100、G323/30/100、G325/30/100、 G403/30/100、G404/30/100、 G405/30/100、G505/30/100 、G503/30/100 、G504/30/100、G254/30/100、G255/30/100、G304/30/100
鋼格板由縱條(中稱負載扁鋼)和橫條(中稱橫桿)組成,橫桿可以使用麻花鋼、扁鋼。鋼格板重量的計算有中心距和凈孔之分,中心距重量重。下面是鋼格板中心間距的理論重量表。




- 03.20
鍍鋅鋼格板規格圖/鍍鋅鋼格柵板結構圖/各種規
- 03.12
安徽電站平臺鋼格柵板 檢修平臺鋼格板哪家好
- 03.01
麻花鋼的粗細和鋼格板承載力的關系并不大
- 02.27
格柵板c安裝夾_鋼格板安裝夾的廠家
- 02.26
河北鋼格板廠家直銷@泰江鋼格板實體廠家
- 02.09
踏步鋼格板的實際應用
- 02.09
鋼格板廠家提醒購買熱鍍鋅鋼格板注意事項
- 02.05
鋼格板廠家 河北安平比較多
- 02.04
鋼格板廠家如何應對產品同質化?
- 01.29
如何防止倉庫平臺鋼格板生銹












